COMBAI computational biology and artificial intelligence

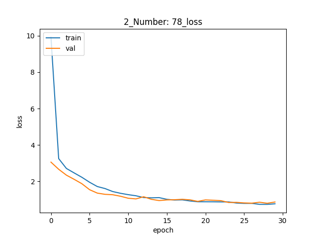
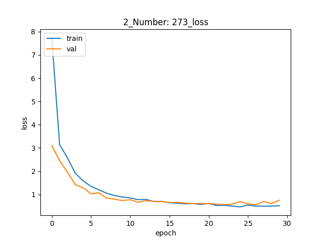
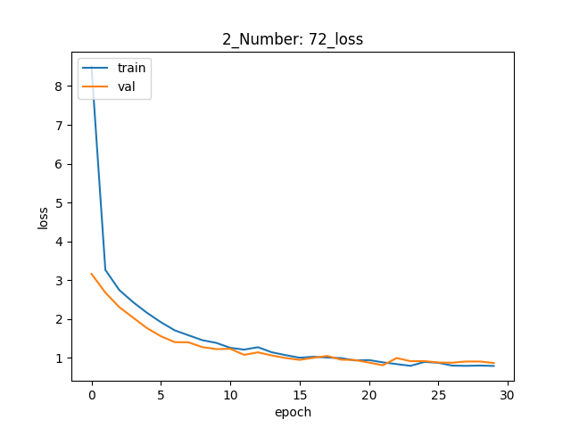
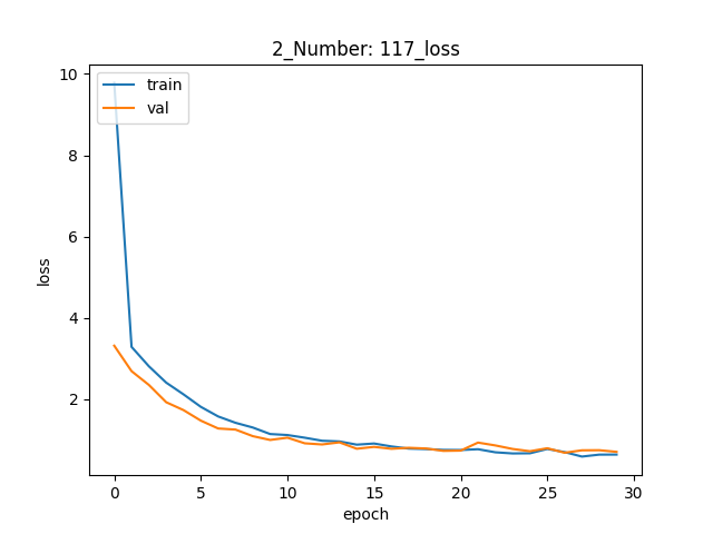
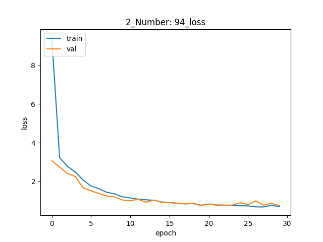
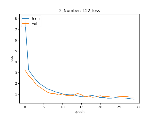
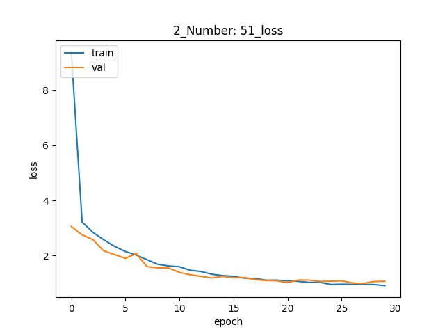
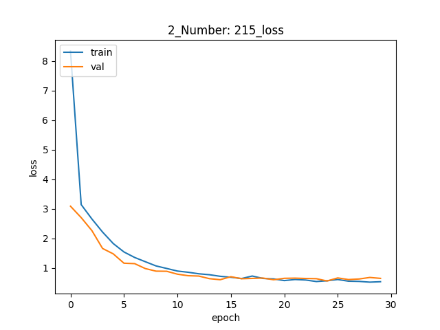
Plots of multiple cancer type classification. The prefix number denotes the run series and the accumulated number of biomarkers were labeled after number. For example, "2_Number:300_accuracy" denotes the accuracy of second run and 300 biomarkers

References

Anyou Wang,Integrating Fréchet distance and AI reveals the evolutionary trajectory and origin of SARS‐ CoV‐2. J Med Virol. 2024;96:e29557. Full text Anyou Wang, Rong Hai,Paul J Rider and Qianchuan He. Noncoding RNAs and deep learning neural network discriminate multi-cancer types.Cancers 2022, 14(2), 352. Wang, A. & Hai, R. FINET: Fast Inferring NETwork. BMC Res Notes 13, 521 (2020).